The animation describes what happens when the H₂ molecular cation is exposed to short-pulse, intense laser radiation polarized perpendicular to the internuclear axis. In the cation, the two protons act as slits due to the fact that the probability for the absorption of x-ray light is highest when the electron is close to one of the two protons. Thus the nuclei behave quite similar to the classic Young's double slit experiment. Interference arises as a consequence of the fact that it is impossible to tell from which proton the photoabsorption took place. Quantum mechanics tells us that the amplitudes of the wave function coming from the left and right proton must be coherently added up, with the cross term providing the observed interference.

Photoelectron momentum distribution in the polarization plane, calculated using RMT, following ionization of He by right- and left-hand circularly polarized laser pulses with a relative time delay of 500 attoseconds. Each pulse has a carrier frequency of 15 eV, a duration of 6 cycles, a peak intensity of 1×10¹² W/cm2. The multi-start spiral structure is known as an electron vortex.

Total cross section for double ionization of He. Note the rather rapid change in the cross section as the energy approaches the threshold for sequential double ionization.

RMT calculation of the photoelectron momentum distribution in the polarisation plane for F- in a two-cycle, 800~nm pulse. The extremely short pulse employed constrains the ionisation to a single pulse peak. The main feature is a peak of the photoelectron momentum which, in the simplified 'strong-field' picture, should occur on the horizontal axis. However, the peak is clearly shifted, appearing at a negative angle of around -12°. This demonstrates that some additional, multi-electron effect is influencing the trajectory of the outgoing electron. However, because this is a negative ion we may rule out the influence of the long-range Coulomb potential which is present during the ionisation of noble gas targets: the photo-detached electron 'sees' only the neutral fluorine atom. In the associated paper, we propose that instead, the contraction of the electron cloud in response to the photo-detachment is the source of the outgoing electron's momentum shift.

Peak field intensity dependence of the yield of the ground state H₂O cation for various polarizations of the laser light using the RMT code.

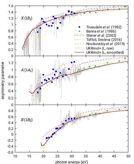
Asymmetry parameter for one-photon ionization of H₂O into the first three ionic states as calculated in UKRmol+ and compared with earlier results.